Als ich das erste Mal eine ggplot2-Grafik für eine Veröffentlichung genutzt habe, habe ich die Legende vorher noch in einem Bildbearbeitungsprogramm überarbeitet - ist lange her, kann man sich als Notnagel auch heute noch überlegen. Wenn alle anderen Stricke reißen macht man hat eine Grafik mit ggplot, die das gewünschte Bild ergibt und eine andere, die die gewünschte Legende ergibt und kopiert das dann in inkscape oder gimp zusammen.
An Athomas' letztem Post finde ich persönlich es etwas störend, dass die x-Achsenbeschriftung jetzt über statt unter den Daten steht; ist aber kein echtes Problem.
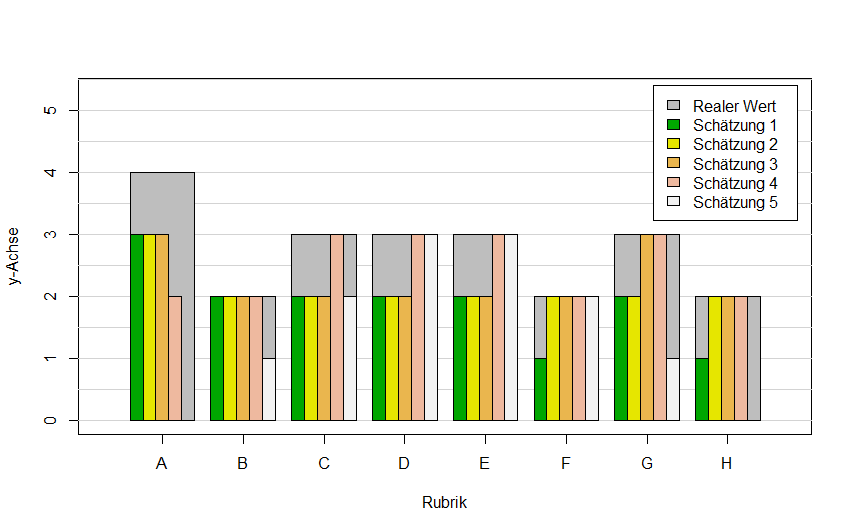
Grau in die base-Grafik-Legende einbauen ist nahezu banal:

- Rplot08.png (6.04 KiB) 1427 mal betrachtet
Code: Alles auswählen
bd <- read.csv2(file="http://forum.r-statistik.de/download/file.php?id=823")
plot(NA, xlim=c(.3,8.7), ylim=c(0,5.3), xlab="Rubrik", xaxt="n", ylab="y-Achse")
axis(1, at=1:8, labels=bd$Rubrik)
abline(h=seq(0,10,.5), col="lightgrey")
for(i in 1:8){
rect(i-.4, 0, i+.4, bd$Realler.Wert[i], col="grey")
for(j in 1:5)
rect(i-.4+.16*(j-1), 0, i-.24+.16*(j-1), bd[i, j+2],
col=terrain.colors(5)[j])
}
legend("topright", fill=c("grey", terrain.colors(5)), inset=.02,
legend=c("Realer Wert", "Schätzung 1", "Schätzung 2",
"Schätzung 3", "Schätzung 4", "Schätzung 5"))
LG,
Bernhard