3 Graphen in ein Diagramm, einer hat andere Zusammensetzung
-
- Beiträge: 16
- Registriert: Fr Jun 19, 2020 9:31 pm
Re: 3 Graphen in ein Diagramm, einer hat andere Zusammensetzung
hi,
vielen Dank nochmal. Aber jetzt hauen die Werte ja ins Unendliche ab. Bei der Trocknung geht es darum, dass der Gewichtsanteil immer kleiner wird und nicht größer. Und die y-Achse beschreibt Prozent, weshalb ich da auch an die Skalierung gebunden bin.
Liebe Grüße
vielen Dank nochmal. Aber jetzt hauen die Werte ja ins Unendliche ab. Bei der Trocknung geht es darum, dass der Gewichtsanteil immer kleiner wird und nicht größer. Und die y-Achse beschreibt Prozent, weshalb ich da auch an die Skalierung gebunden bin.
Liebe Grüße
-
- Beiträge: 16
- Registriert: Fr Jun 19, 2020 9:31 pm
Re: 3 Graphen in ein Diagramm, einer hat andere Zusammensetzung
Vielleicht habe ich es nicht klar formuliert. Bei dem Versuch wurde das gesamte Gewicht gemessen und durch die Trocknung wurde dieses weniger. es wurden aber nur 2 mal 2 Stunden und einmal 1 Stunde gemessen. Ich soll jetzt sagen, was nach 4 Stunden gewesen wäre. Sprich alle sollten sich bei einem Wert einpendelt und vor allem nicht wieder mehr werden.
MfG
MfG
Re: 3 Graphen in ein Diagramm, einer hat andere Zusammensetzung
Polynomial war ein Model vorschlag, der ja anscheinend nicht gepasst hat... Aber die Infos sind auch sehr rar und die warnungen waren eindeutig...pingu is my hero hat geschrieben: Mo Jun 22, 2020 9:46 pm Vielleicht habe ich es nicht klar formuliert. Bei dem Versuch wurde das gesamte Gewicht gemessen und durch die Trocknung wurde dieses weniger. es wurden aber nur 2 mal 2 Stunden und einmal 1 Stunde gemessen. Ich soll jetzt sagen, was nach 4 Stunden gewesen wäre. Sprich alle sollten sich bei einem Wert einpendelt und vor allem nicht wieder mehr werden.
MfG
Kannst du aufgrund dieser theoretischen Abwägungen ein (nicht-lineares?) Model vorschlagen? Die parameter des Models kann man ja dann mit nls() anpassen... Aber vorher brauchen wir das Model das dir vorschwebt.
Könnte ja z.b. ein exponentieller Abfall wie beim Radium sein... Aber das kann vermutlich mit den wenigen infos niemand hier beurteilen.
Bitte immer ein reproduzierbares Minimalbeispiel angeben. Meinungen gehören mir und geben nicht die meines Brötchengebers wieder.
Dieser Beitrag ist lizensiert unter einer CC BY 4.0 Lizenz
.
Dieser Beitrag ist lizensiert unter einer CC BY 4.0 Lizenz

Re: 3 Graphen in ein Diagramm, einer hat andere Zusammensetzung
Hallo pingu,
LG,
Bernhard
Die Klarheit der Formulierung war nicht das Problem. Ganz klar aber fehlte Dir die praktische Erkenntnis einer ganz wesentliche Limitation polynomialer Regression. Meine Hoffnung war, dass Du ein Leben lang nie wiederpingu is my hero hat geschrieben: Mo Jun 22, 2020 9:45 pmVielleicht habe ich es nicht klar formuliert.
schreibst, wenn es um polynomiale Regression geht. Der Fehler muss ja nicht immer so augenfällig sein, wie wir ihn hier machen konnten.es geht ja nicht um einen riesen Bereich, nur um das Doppelte von dem was bereits da ist
Vielleicht haben wir es ja nicht klar formuliert? Eine schöne und klare Formulierung habe ich kürzlich auf StackOverflow (SO) gelesen. Da schrieb jemand "Remember that SO is a problem solving community, not a code writing service.". Es ist auch unser Selbstverständnis, dass wir gerne und viel helfen, aber dass wir nicht dazu da sind, für Dich Deine Hausaufgaben zu machen. Wenn Deine Lehrer von Dir eine Regression erwarten, mit der sich der Wert bei x = 240 vorhersagen lässt, dann wirst Du hoffentlich eine entsprechende Regressionsform gelernt haben. Und wenn Du die trotz Internetrecherche nicht selbst umsetzen kannst, dann ist das Deutsche R-Forum gerne da, um Dir dabei zu helfen.pingu is my hero hat geschrieben: Mo Jun 22, 2020 9:45 pmVielleicht habe ich es nicht klar formuliert.
LG,
Bernhard
---
Programmiere stets so, dass die Maxime Deines Programmierstils Grundlage allgemeiner Gesetzgebung sein könnte
Programmiere stets so, dass die Maxime Deines Programmierstils Grundlage allgemeiner Gesetzgebung sein könnte
-
- Beiträge: 16
- Registriert: Fr Jun 19, 2020 9:31 pm
Re: 3 Graphen in ein Diagramm, einer hat andere Zusammensetzung
Hallo nochmal,
wie bereits gesagt, tut es mir leid, falls ich euch auf die Nerven gehe. Den Satz, dass ihr meine Hausaufgaben machen sollt, möchte ich aber auch gerne etwas korrigieren. Ich meine ich habe für dieses Protokoll 21 Seiten geschrieben und 17 Diagramme angefertigt und nur im letzten fehlt mir das Handwerkszeug um einige zukünftige Werte zu extrapolieren. Außerdem hat mir BigBen geholfen in jenem Diagramm alle Graphen einzufügen, wofür ich wirklich dankbar bin.
Mein Problem ist einfach, dass ich nur einen Grundlagenkurs in R hatte und ich schlicht und ergreifend nicht weiß, wie ich eine anständige Extrapolation hinkriege.
In Excel sieht das ganze so einfach aus, da kann man einfach eine Trendlinie einfügen und dann zwischen unterschiedlichen auswählen. Nur leider will unsere Dozentin eben, dass wir R nutzen (verstehe nicht warum).
Um also auf eure indirekt formulierte Frage zu antworten. Nein ich habe leider nicht gelernt, wie ich eine passende Regressionsart finde/auswähle/nutze. Ich versuche es allerdings tagtäglich mit diversen Seiten (auch Stackoverflow). Da ich aber enorme Zeitmengen für dieses eigentlich "kleine" Problem investiere, hatte ich auf euren Rat gehofft.
Mein neuster Ansatz war es, mir mit einem Grafikrechner eine Funktionsgleichung für den Graphen geben zu lassen und damit die Fehlenden Punkte zu extrapolieren. Leider sind Grafikrechner sehr teuer und aktuell sind alle entliehen.
Ich bin weiter für Ratschläge offen und würde mich über Hilfe freuen.
MfG Pingu
wie bereits gesagt, tut es mir leid, falls ich euch auf die Nerven gehe. Den Satz, dass ihr meine Hausaufgaben machen sollt, möchte ich aber auch gerne etwas korrigieren. Ich meine ich habe für dieses Protokoll 21 Seiten geschrieben und 17 Diagramme angefertigt und nur im letzten fehlt mir das Handwerkszeug um einige zukünftige Werte zu extrapolieren. Außerdem hat mir BigBen geholfen in jenem Diagramm alle Graphen einzufügen, wofür ich wirklich dankbar bin.
Mein Problem ist einfach, dass ich nur einen Grundlagenkurs in R hatte und ich schlicht und ergreifend nicht weiß, wie ich eine anständige Extrapolation hinkriege.
In Excel sieht das ganze so einfach aus, da kann man einfach eine Trendlinie einfügen und dann zwischen unterschiedlichen auswählen. Nur leider will unsere Dozentin eben, dass wir R nutzen (verstehe nicht warum).
Um also auf eure indirekt formulierte Frage zu antworten. Nein ich habe leider nicht gelernt, wie ich eine passende Regressionsart finde/auswähle/nutze. Ich versuche es allerdings tagtäglich mit diversen Seiten (auch Stackoverflow). Da ich aber enorme Zeitmengen für dieses eigentlich "kleine" Problem investiere, hatte ich auf euren Rat gehofft.
Mein neuster Ansatz war es, mir mit einem Grafikrechner eine Funktionsgleichung für den Graphen geben zu lassen und damit die Fehlenden Punkte zu extrapolieren. Leider sind Grafikrechner sehr teuer und aktuell sind alle entliehen.
Ich bin weiter für Ratschläge offen und würde mich über Hilfe freuen.
MfG Pingu
-
- Beiträge: 16
- Registriert: Fr Jun 19, 2020 9:31 pm
Re: 3 Graphen in ein Diagramm, einer hat andere Zusammensetzung
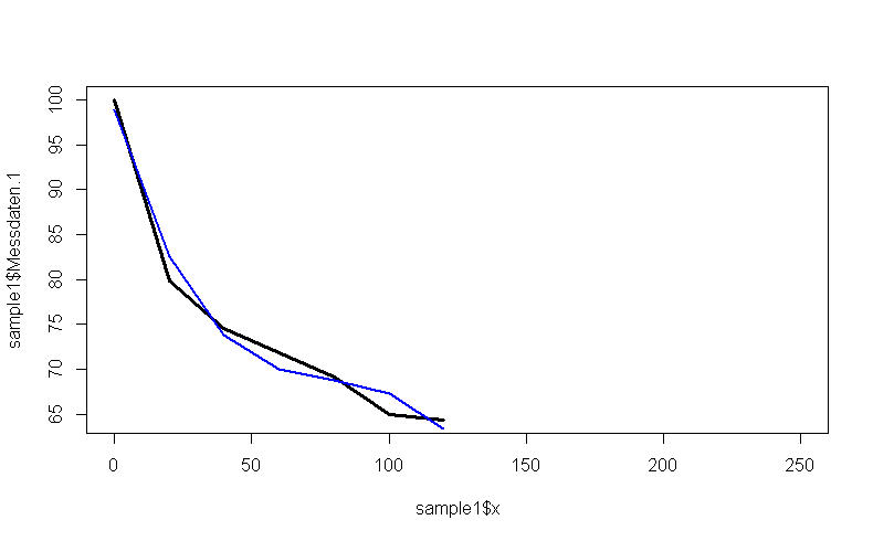
Hier ist auch noch etwas was ich gestern wo gelesen habe. An sich entspricht das ganze relativ gut meinen Vorstellungen, nur leider zeigt es wieder keine extrapolierten Werte.
MfG
sample1 <- data.frame(x, Messdaten.1)
sample2<- data.frame(x, Messdaten.2)
sample3<- data.frame(x1, Messdaten.3)
plot(x, Messdaten.1, type = "b")
fit1 <- lm(sample1$Messdaten.1 ~ sample1$x)
fit2 <- lm(sample1$Messdaten.1 ~ poly(sample1$x, 2, raw=TRUE))
fit3 <- lm(sample1$Messdaten.1 ~ poly(sample1$x, 3, raw=TRUE))
plot(sample1$x, sample1$Messdaten.1, type="l", lwd=3, xlim = c(0,250))
points(sample1$x, predict(fit3), type="l", col="blue", lwd=2)
MfG
sample1 <- data.frame(x, Messdaten.1)
sample2<- data.frame(x, Messdaten.2)
sample3<- data.frame(x1, Messdaten.3)
plot(x, Messdaten.1, type = "b")
fit1 <- lm(sample1$Messdaten.1 ~ sample1$x)
fit2 <- lm(sample1$Messdaten.1 ~ poly(sample1$x, 2, raw=TRUE))
fit3 <- lm(sample1$Messdaten.1 ~ poly(sample1$x, 3, raw=TRUE))
plot(sample1$x, sample1$Messdaten.1, type="l", lwd=3, xlim = c(0,250))
points(sample1$x, predict(fit3), type="l", col="blue", lwd=2)
Re: 3 Graphen in ein Diagramm, einer hat andere Zusammensetzung
Hallo pingu,
wenn Du jemandem auf die Nerven gingest, dann würde dieser jemand sich einfach aus dem Thread verabschieden - mach Dir darum also nicht zuviel Kopf.
Ich persönlich verstehe sehr gut, warum Eure Dozentin angehenden Wissenschaftlern R und nicht Excel vermitteln will (Beispiel in BMC Bioinformatics), (Beispiel in Computational Statistics and Data Analysis), ... Eine gute Auswahl der Hilfsmittel gehört ebenso zum Handwerkszeug der Datenanalyse wie die Methoden selbst.
Ich vermute mal, dass man auch in Excel und auch in grafischen Taschenrechnern nicht eine Regressionsformel für alle Fälle findet, sondern auch da auswählen muss, ob es eine polynomiale oder eine andere Regressionsform ist. Ist ja auch nicht so, dass sich in diesem Thread kein guter Tipp finden ließe.
In Deinem predict-Aufruf hast Du R nicht gesagt, dass der Wert für x = 240 vorhergesagt werden soll. Vielleicht liest Du dazu nochmal nach, wie ich in dem polynomialen Beispiel predict benutzt habe.
LG,
Bernhard
wenn Du jemandem auf die Nerven gingest, dann würde dieser jemand sich einfach aus dem Thread verabschieden - mach Dir darum also nicht zuviel Kopf.
Ich persönlich verstehe sehr gut, warum Eure Dozentin angehenden Wissenschaftlern R und nicht Excel vermitteln will (Beispiel in BMC Bioinformatics), (Beispiel in Computational Statistics and Data Analysis), ... Eine gute Auswahl der Hilfsmittel gehört ebenso zum Handwerkszeug der Datenanalyse wie die Methoden selbst.
Ich vermute mal, dass man auch in Excel und auch in grafischen Taschenrechnern nicht eine Regressionsformel für alle Fälle findet, sondern auch da auswählen muss, ob es eine polynomiale oder eine andere Regressionsform ist. Ist ja auch nicht so, dass sich in diesem Thread kein guter Tipp finden ließe.
In Deinem predict-Aufruf hast Du R nicht gesagt, dass der Wert für x = 240 vorhergesagt werden soll. Vielleicht liest Du dazu nochmal nach, wie ich in dem polynomialen Beispiel predict benutzt habe.
LG,
Bernhard
---
Programmiere stets so, dass die Maxime Deines Programmierstils Grundlage allgemeiner Gesetzgebung sein könnte
Programmiere stets so, dass die Maxime Deines Programmierstils Grundlage allgemeiner Gesetzgebung sein könnte
-
- Beiträge: 16
- Registriert: Fr Jun 19, 2020 9:31 pm
Re: 3 Graphen in ein Diagramm, einer hat andere Zusammensetzung
Hallo BigBen,
ich glaube was du meintest war das draw<- data.frame () oder?
Ich habe es jetzt mal eingefügt, kriege aber leider eine Fehlermeldung:
Warning message:
'newdata' had 121 rows but variables found have 7 rows
Was ich geändert habe war:
plot(x, Messdaten.1, type="b", ylim=c(0,100),, xlim=c(0,240), ylab="Gewichtsanteil")
axis(1, at = 240)
lines(x, Messdaten.2, type="b", col=2)
lines(x1, Messdaten.3, type="b", col=3)
legend("bottomleft", fill = 1:3, legend =c("eins", "zwei", "drei"), inset = .01)
abline(v = 240, col ="lightgrey", lty=2)
fit1 <- lm(sample1$Messdaten.1 ~ sample1$x)
fit2 <- lm(sample1$Messdaten.1 ~ poly(sample1$x, 2, raw=TRUE))
fit3 <- lm(sample1$Messdaten.1 ~ poly(sample1$x, 3, raw=TRUE))
draw <- data.frame(x = seq(0,240,2), x1 = seq(0,240,2))
points(sample1$x, predict(fit3, draw), type="l", col="blue", lwd=2)
ich glaube was du meintest war das draw<- data.frame () oder?
Ich habe es jetzt mal eingefügt, kriege aber leider eine Fehlermeldung:
Warning message:
'newdata' had 121 rows but variables found have 7 rows
Was ich geändert habe war:
plot(x, Messdaten.1, type="b", ylim=c(0,100),, xlim=c(0,240), ylab="Gewichtsanteil")
axis(1, at = 240)
lines(x, Messdaten.2, type="b", col=2)
lines(x1, Messdaten.3, type="b", col=3)
legend("bottomleft", fill = 1:3, legend =c("eins", "zwei", "drei"), inset = .01)
abline(v = 240, col ="lightgrey", lty=2)
fit1 <- lm(sample1$Messdaten.1 ~ sample1$x)
fit2 <- lm(sample1$Messdaten.1 ~ poly(sample1$x, 2, raw=TRUE))
fit3 <- lm(sample1$Messdaten.1 ~ poly(sample1$x, 3, raw=TRUE))
draw <- data.frame(x = seq(0,240,2), x1 = seq(0,240,2))
points(sample1$x, predict(fit3, draw), type="l", col="blue", lwd=2)
-
- Beiträge: 16
- Registriert: Fr Jun 19, 2020 9:31 pm
Re: 3 Graphen in ein Diagramm, einer hat andere Zusammensetzung
Ach ja und in Excel heißt die tolle Regressionsform Potenzialfunktion. Scheint es in R aber nicht zu geben.
Re: 3 Graphen in ein Diagramm, einer hat andere Zusammensetzung
Hallo Pingu,
Der Fehler ist aber schon korrekt: Du hast der Plot-Funktion die x-Werte aus sample1$x übergeben und als y-Werte die mti fit3 zu draw$x1 errechneten. In sample1$x gibt es aber viel weniger Werte als zu draw$x1 vorhergesagte y-Werte.
https://youtu.be/OVWF5UATHVc
https://studyflix.de/mathematik/potenzfunktionen-1953
LG,
Bernhard
Ja, die Funktion predict ist eigen in der Anwendung. Wenn der Prädiktor im lm-Aufruf x hieß, dann will sie einen Dataframe in dem die neuen zu berechnenden Werte wieder x heißen. Weil es ums zeichnen (engl. to draw) ging, habe ich den nur fürs Zeichnen erforderlichen Dataframe draw genannt. [Link zu deutschsprachiger Anleitung zu predict, falls der Link gerade eben zu englisch war.]pingu is my hero hat geschrieben: Di Jun 23, 2020 9:54 amich glaube was du meintest war das draw<- data.frame () oder?
Bei mir kommt der Fehler schon früherIch habe es jetzt mal eingefügt, kriege aber leider eine Fehlermeldung:
Code: Alles auswählen
> fit1 <- lm(sample1$Messdaten.1 ~ sample1$x)
Error in eval(predvars, data, env) : object 'sample1' not found
Habe gerade mal nach "Excel Potenzialfunktion" gegooglet. Scheint nicht viele Treffer zu geben, weil Google mir gleich vorschlägt, anstelle von Potenzialfunktion nach Potenzfunktion zu suchen. Vielleicht ist Google keine gute Suchmaschine, vielleicht hast Du Dich auch geirrt. Schau doch mal nach Potenzfunktionen und schau, ob die der Form nach passen könnten oder ob die auch grundsätzlich abhauenn Excel heißt die tolle Regressionsform Potenzialfunktion
https://youtu.be/OVWF5UATHVc
https://studyflix.de/mathematik/potenzfunktionen-1953
LG,
Bernhard
---
Programmiere stets so, dass die Maxime Deines Programmierstils Grundlage allgemeiner Gesetzgebung sein könnte
Programmiere stets so, dass die Maxime Deines Programmierstils Grundlage allgemeiner Gesetzgebung sein könnte