Hallo,
bin totaler Neuling in R und brauche es für meine Hausarbeit.
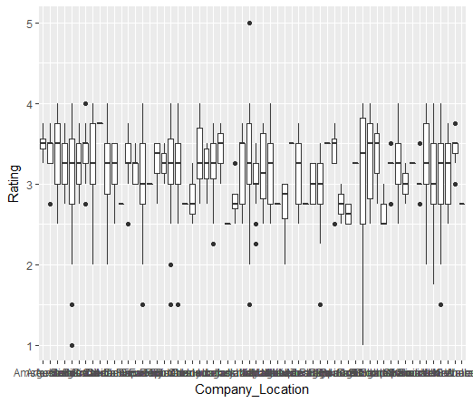
Ich habe ein Boxplot erstellt. Leider kann ich die Ergebnisse nicht deuten, da die Namen der einzelnen Ausprägungen zu lang sind und sich somit unlesbar überlappen. (Bsp. Ländernamen wie Frankreich, Deutschland, Italien usw....)
Gibt es eine Möglichkeit, dass R mir diese in Kürzel anzeigt?
Danke !
Anna
Ausprägungen auf Achse überlappen sich
Re: Ausprägungen auf Achse überlappen sich
Sieht so aus, als wär das kein Standard R, sondern ggplot2. Das wolltest Du uns bestimmt noch sagen? Siehe: http://tallman-world.tumblr.com/post/89 ... in-ggplot2
http://www.cookbook-r.com/Graphs/Axes_( ... formatting
LG,
Bernhard
http://www.cookbook-r.com/Graphs/Axes_( ... formatting
LG,
Bernhard
---
Programmiere stets so, dass die Maxime Deines Programmierstils Grundlage allgemeiner Gesetzgebung sein könnte
Programmiere stets so, dass die Maxime Deines Programmierstils Grundlage allgemeiner Gesetzgebung sein könnte
Re: Ausprägungen auf Achse überlappen sich
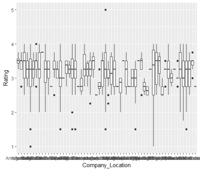
Ich würde die Achsen vertauschen - coord_flip() und vielleicht absteigend sortieren.
Bitte immer ein reproduzierbares Minimalbeispiel angeben. Meinungen gehören mir und geben nicht die meines Brötchengebers wieder.
Dieser Beitrag ist lizensiert unter einer CC BY 4.0 Lizenz
.
Dieser Beitrag ist lizensiert unter einer CC BY 4.0 Lizenz

Re: Ausprägungen auf Achse überlappen sich
Hi!
Ich nicht. Ich würde eine ganz andere Darstellungsform wählen. Boxplots mögen für kontinuierliche Daten manchmal nützlich sein, für diskrete sind sie einfach nicht gut. Eine ganze Reihe konstruktive Vorschläge, wie man diskrete Ratings gut visuell zusammfassen kann, findest Du hier: https://bookdown.org/Rmadillo/likert/al ... alize.html
Schau mal, ob da nicht was für Dich dabei ist.
LG,
Bernhard
Ich nicht. Ich würde eine ganz andere Darstellungsform wählen. Boxplots mögen für kontinuierliche Daten manchmal nützlich sein, für diskrete sind sie einfach nicht gut. Eine ganze Reihe konstruktive Vorschläge, wie man diskrete Ratings gut visuell zusammfassen kann, findest Du hier: https://bookdown.org/Rmadillo/likert/al ... alize.html
Schau mal, ob da nicht was für Dich dabei ist.
LG,
Bernhard
---
Programmiere stets so, dass die Maxime Deines Programmierstils Grundlage allgemeiner Gesetzgebung sein könnte
Programmiere stets so, dass die Maxime Deines Programmierstils Grundlage allgemeiner Gesetzgebung sein könnte
Re: Ausprägungen auf Achse überlappen sich
Good Point!
Ist es wirklich diskret? Gibt ja auch 1.5 und 2.75 als Werte... (die Vermutung liegt aber nahe...)
Ist es wirklich diskret? Gibt ja auch 1.5 und 2.75 als Werte... (die Vermutung liegt aber nahe...)
Bitte immer ein reproduzierbares Minimalbeispiel angeben. Meinungen gehören mir und geben nicht die meines Brötchengebers wieder.
Dieser Beitrag ist lizensiert unter einer CC BY 4.0 Lizenz
.
Dieser Beitrag ist lizensiert unter einer CC BY 4.0 Lizenz
