Liebe R-Community,
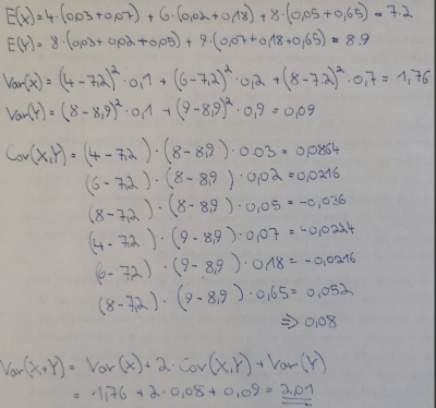
Ich habe das folgende Beispiel (Anhang) bereits mit der Hand gerechnet, jedoch ist das Beispiel sehr zeitaufwändig. Ich wollte deshalb fragen ob man diese Aufgabe auch mit R lösen kann. Vielen Dank im voraus!
Varianz von zwei Zufallsvariablen berechnen
Moderator: EDi
-
- Beiträge: 1
- Registriert: Do Jul 01, 2021 7:44 pm
Re: Varianz von zwei Zufallsvariablen berechnen
Hallo PAXON,
willkommen im Forum!
Klar geht das:
Gruß, Jörg
willkommen im Forum!
Klar geht das:
Code: Alles auswählen
X <- c(4, 6, 8)
Y <- 8:9
Pxy <- matrix(c(.03, .02, .05, .07, .18, .65), 3)
Ex <- weighted.mean(X, rowSums(Pxy)) # oder auch sum(X*rowSums(Pxy))
Ey <- weighted.mean(Y, colSums(Pxy))
varX <- sum((X-Ex)^2*rowSums(Pxy))
varY <- sum((Y-Ey)^2*colSums(Pxy))
Dat <- expand.grid(x=X, y=Y)
covXY <- with(Dat, sum((x-Ex)*(y-Ey)*Pxy))