Ich habe folgenden Datensatz:
Code: Alles auswählen
daten <- data.frame(
variable1 = c(rep(1,5), rep(2,5), rep(3,5), rep(4,5), rep(5,5)),
variable2 = rep(1:5,5),
kriterium = rnorm(25)
)
Code: Alles auswählen
datenstruktur <- matrix(ncol = 5, nrow = 5)
for (i in 1:5) {
datenstruktur[i,] <- rnorm(5)
}
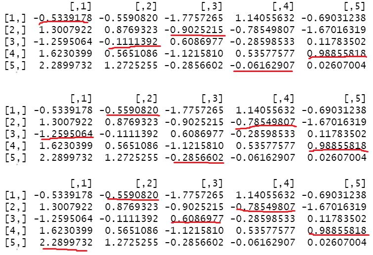
Ich habe folgendes Problem: Ich soll die Summe jeder möglichen Kombintation aus 5 Werten berechnen, sodass
jede Zeile UND jede Spalte nur einmal vorkommen. 3 von (in diesem Fall mit der 5x5 Matrix) 120 möglichen Kombinationen habe ich in der Datei1 mit rot angezeichnet: Wie gesagt, ich suche die Summe pro Matrix der unterstrichenen Werte.
Ich hoffe, dass ich das Problem ausreichend beschrieben habe, wenn nicht, dürft Ihr euch gerne melden.
Ich wäre sehr froh um jeden Vorschlag (schriftlich oder in Code).
Liebe Grüsse
LeaRn